新乡县最全核酸检测采样信息都在这里啦!
来源:新乡县融媒体中心 时间:2021-08-10 浏览量:
自8月7日开始,经新乡市新冠肺炎疫情防控指挥部研究,决定在全市范围内开展全员免费核酸检测,检测对象为新乡市辖区所有居民。我县核酸检测工作现已有序开展,请广大居民接到街道社区工作人员通知后再前往指定采样点采样,避免盲目前往。

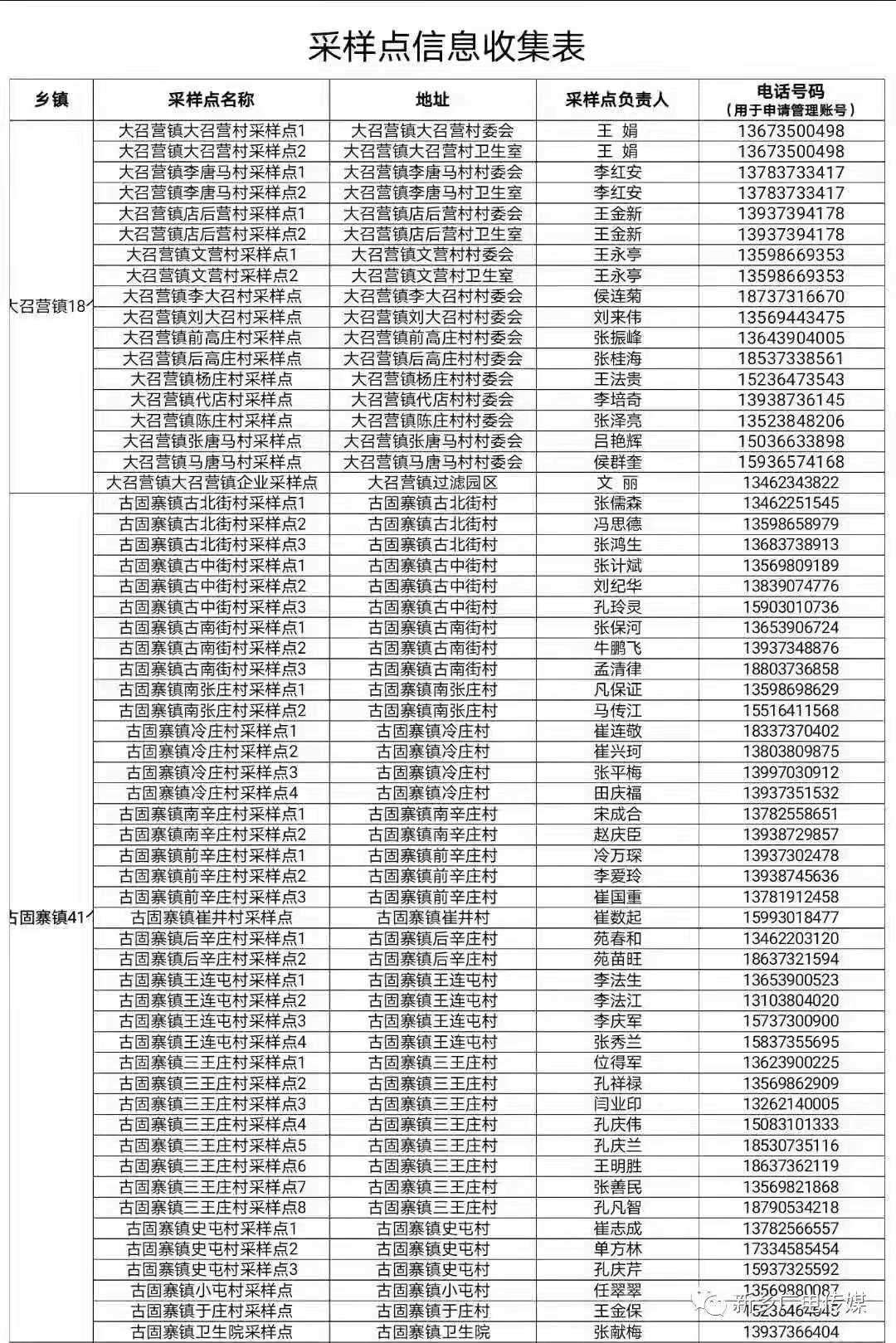
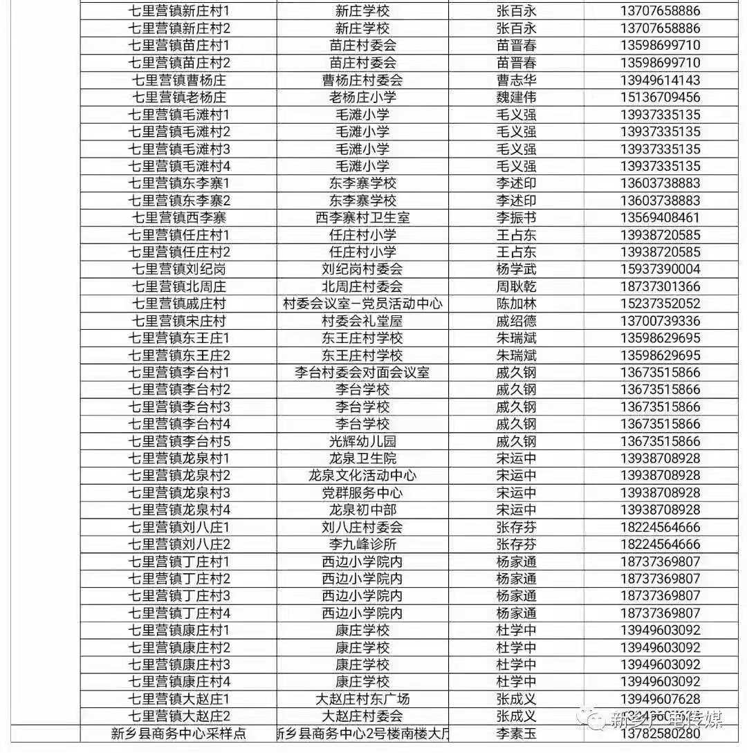
新乡县各核酸检测采样点信息如下:




做核酸检测中请注意以下几点:
1、广大居民根据村(社区)组织安排,携带身份证、户口本等有效证件,提前扫码登记信息,有序分时段前往指定采样点进行采样,确保不漏一户一人。

2. 本人和家人(特别是老人和小孩没有智能机的)务必提前注册此二维码进行信息登记;一定要将生成的个人信息二维码进行截图保存,方便后续工作人员扫码登记。

3.采样前2小时不应进食;
4.采样前30分钟不要吸烟、喝酒和嚼口香糖;
5.采样等待时需戴口罩;
6.等待时与他人间距不小于1米;
7.采样时主动配合。
近日天气炎热,请广大居民注意防暑降温,做好防范。请不要将随身携带的任何物品(身份证、钥匙、包等)放置在采样台上,也不要用手触摸采样台。全程注意正确佩戴口罩,检测完毕后请立即离开,注意手部卫生,可使用免洗手消毒液或免洗酒精擦拭双手。
温馨提示:为缩短现场排队时间,请大家尽量错峰采样。为了自己的健康安全和疫情防控大局,前往采样点请做好个人防护,服从现场工作人员引导,按照“一米线”有序排队。一旦出现发热、干咳、乏力等症状,应立即到就近的发热门诊就诊,并主动告知14天活动轨迹和接触史。
融媒记者:王安琪 王海洋

